ТулГУ Задание
Дисциплина: Статистика
По исходным данным, представленным в таблице 1, составить два ряда распределения – один дискретный (или атрибутивный), другой интервальный. По каждому ряду выполнить группировку данных, определить абсолютные, относительные и интегральные частоты, определить
средние арифметические и структурные величины, показатели вариации. Сделать обоснованные выводы о качественных особенностях ряда и
проиллюстрировать результаты графиками (гистограмма и кумулята для интервального ряда, полигон и кумулята для дискретного ряда, гистограмма
и секторная диаграмма для атрибутивного ряда). Ручные расчеты дополнить данными, полученными с помощью надстройки «Описательная статистика» пакета MicrosoftExcel (Файл – параметры — надстройки – анализ данных –описательная статистика), выявить и пояснить причины расхождения полученных результатов.


Рассчитать базисные, цепные и средние показатели динамического ряда согласно варианту (исходные данные в таблицах 2 и 3), построить график,
сделать выводы о методе расчета, содержании показателя, его динамике.


По данным из задания 1 выполнить корреляционно-регрессионный анализ, сделать обоснованные выводы. Использовать надстройку «Описательная статистика» пакета MicrosoftExcel (Файл – параметры — надстройки – анализ данных –описательная статистика — регрессия), выявить и пояснить причины расхождения полученных результатов.
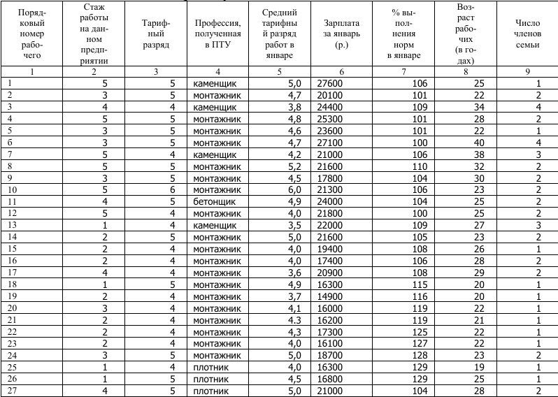
ИСХОДНЫЕ ДАННЫЕ ДЛЯ ВЫПОЛНЕНИЯ ЗАДАНИЙ ПО ВАРИАНТАМ
Таблица 1
Данные обследования рабочих строительного треста, принятых на работу за последние 10 лет.






Таблица 2
Основные макроэкономические, демографические и показатели уровня жизни региона.

Таблица 3
Рынок труда региона

или напишите нам прямо сейчас:
Здравствуйте. Скажите пожалуйста, планирую поступать в магистратуру на факультет Психологии « Психология личности»в РГГУ скажите пожалуйста, есть ли у вас, ответы на вступительные экзамены? так как, планирую, сделать акцент на бюджет. Спасибо.
Арсений, здравствуйте! Прошу Вас прислать всю необходимую информацию на почту info@otlichnici.ru и написать что необходимо выполнить. Я посмотрю описание к заданиям и подскажу вам по стоимости и срокам выполнения.
Дистанционная помощь в защите ВКР
Анастасия, здравствуйте! Прошу Вас прислать всю необходимую информацию на почту info@otlichnici.ru и написать что необходимо выполнить. Я посмотрю описание к заданиям и подскажу вам по стоимости и срокам выполнения.
Здравствуйте. Нужна срочно практическая часть вкр, третья глава. Скину похожие работы, на которые можно ориентироваться
Александр, здравствуйте! Прошу Вас прислать всю необходимую информацию на почту info@otlichnici.ru и написать что необходимо выполнить. Я посмотрю описание к заданиям и подскажу вам по стоимости и срокам выполнения.
вкр по теме: экологический туризм России : анализ состояния, проблемы и перспективы
Людмила, здравствуйте! Прошу Вас прислать всю необходимую информацию на почту info@otlichnici.ru и написать что необходимо выполнить. Я посмотрю описание к заданиям и подскажу вам по стоимости и срокам выполнения.
Здравствуйте вы защищаете ВКР?
Ольга, здравствуйте! Прошу Вас прислать всю необходимую информацию на почту info@otlichnici.ru и написать что необходимо выполнить. Я посмотрю описание к заданиям и подскажу вам по стоимости и срокам выполнения.
Написать магистерскую ВКР на тему «Совершенствование логистических бизнес-процессов на примере торговой компании». Не менее 100 страниц.
Миша, здравствуйте! Прошу Вас прислать всю необходимую информацию на почту info@otlichnici.ru и написать что необходимо выполнить. Я посмотрю описание к заданиям и подскажу вам по стоимости и срокам выполнения.
Здравствуйте нужна работа Вкр
Лена, здравствуйте! Прошу Вас прислать всю необходимую информацию на почту info@otlichnici.ru и написать что необходимо выполнить. Я посмотрю описание к заданиям и подскажу вам по стоимости и срокам выполнения.
Написать ВКР 3 раздела Тема строительство строительство жилого дома с применением каркасно-монолитных технологий Антиплагиат от 75% ПЗ и чертежи
Владимир, здравствуйте! Прошу Вас прислать всю необходимую информацию на почту info@otlichnici.ru и написать что необходимо выполнить. Я посмотрю описание к заданиям и подскажу вам по стоимости и срокам выполнения.